阻抗匹配:测试中的必备利器
阻抗匹配是电子领域中一个重要的概念,尤其在电路测试中扮演着至关重要的角色。阻抗匹配的概念源于对信号传输过程中阻抗失配带来的问题的认识,通过合适的匹配方法,可以最大限度地提高信号传输的效率和准确性。本文将深入探讨阻抗匹配的相关概念以及在测试中的应用,帮助读者更好地理解和应用这一技术。
在电子领域中,阻抗是指电路对交流信号的阻碍程度,通常用复数表示,包括电阻和电抗两部分。阻抗匹配的基本原则是要使信号源、传输线和负载之间的阻抗相互匹配,以减少信号反射和功率损耗,从而确保信号的准确传输。在实际测试中,阻抗失配可能会导致信号失真、波形畸变甚至设备损坏,因此正确的阻抗匹配至关重要。
阻抗匹配的常用方法包括变压器匹配、电容匹配和电感匹配等。变压器匹配是通过变压器来改变信号的阻抗,适用于绝大多数情况;电容匹配则是通过串联或并联电容来调节阻抗;电感匹配则是通过串联或并联电感来实现阻抗匹配。不同的匹配方法适用于不同的情况,需要根据具体需求来选择合适的方式。
在测试中,阻抗匹配可以有效提高测试的准确性和稳定性。特别是在高频测试或微波测试中,阻抗匹配更是必不可少的。在设备测试中,正确的阻抗匹配可以减少测试误差,提高测试效率;在射频测试中,阻抗匹配可以帮助减少信号波动,提高信噪比,从而得到更准确的测试结果。
总的来说,阻抗匹配是电子领域中一个重要的概念,对于信号传输和测试具有重要意义。正确的阻抗匹配可以提高信号的传输效率和准确性,避免信号失真和能量损耗。在实际应用中,我们需要根据具体情况选择合适的匹配方法,以确保测试的顺利进行和结果的准确性。 
二、纯电阻电路和电抗电路的阻抗匹配
1、纯电阻电路
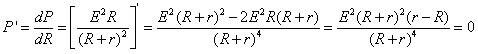
在中学物理电学中常会讲到这样一种现象:把一个电阻为R的用电器,接在一个电动势为E,内阻为r的电池组上(见图1),在什么条件下电源输出的功率最大呢?答案是当外电阻等于内电阻时,电源对外电路输出的功率最大,这就是纯电阻电路的功率匹配。假如换成交流电路,同样也必须满足R=r这个条件电路才能匹配
例如
求导

推出 R=r
…… ……